Το αρχηγείο του Λιμενικού έδωσε γραπτή εντολή για τη μεταφορά μεταναστών από το κέντρο σε περιφραγμένο χώρο στο λιμάνι
ΑΝΑΓΝΩΣΤΗΚΕ 15262 ΦΟΡΕΣ
Έφερε τελικά αποτέλεσμα, ο σχεδιασμός, η επιμονή και ο αγώνας που έδωσε τους τελευταίους μήνες ο Δήμαρχος Ρόδου κος Αλέξανδρος Κολιάδης, προκειμένου να πειστεί το αρχηγείο του Λιμενικού Σώματος και άλλες υπηρεσίες, για να φύγουν από το κέντρο της Ρόδου, τα πάρκα, τις πλατείες και άλλα σημεία, οι δεκάδες μετανάστες και να μεταφερθούν σε έναν ασφαλή και αξιοπρεπή χώρο, δίπλα στο λιμάνι της Ακαντιάς.
Την πρόταση αυτή, είχε καταθέσει και είχε υποστηρίξει δημόσια και ο Περιφερειάρχης Νοτίου Αιγαίου Γιώργος Χατζημάρκος, προκειμένου αφενός οι άνθρωποι που ήταν ξαπλωμένοι για μέρες στα πάρκα και τις πλατείες, να μπορούν να μεταφέρονται σταδιακά σε έναν οργανωμένο χώρο, που τουλάχιστον θα τους παρείχε τα στοιχειώδη, μέχρι να αναχωρήσουν από το νησί μας, προς οργανωμένες δομές στην υπόλοιπη χώρα.
Ο χώρος αυτός βρέθηκε. Μπήκαν κάμερες ασφαλείας, ειδικό συρματόπλεγμα και πόρτα για την είσοδο και έξοδο των ατόμων που θα φιλοξενούνταν. Τον παραχώρησε το λιμενικό ταμείο Νοτίας Δωδεκανήσου έπειτα από αίτημα του Δημάρχου για συγκεκριμένο χρονικό διάστημα, δίπλα στα παλιά σφαγεία της Ρόδου, στο λιμάνι της Ακαντιάς. Κι ενώ όλα ήταν έτοιμα από την Παρασκευή και το πρωί του Σαββάτου ο Ερυθρός Σταυρός επιχείρησε να τα στήσει σκηνές, χημικές τουαλέτες και στη συνέχει να γίνει η μεταφορά των πρώτων 100 περίπου ατόμων αλλά για μια ακόμα φορά, η απάντηση ήταν αρνητική.
Μάλιστα μπροστά από τον χώρο αυτό όπου θα παραχωρούνταν, προκλήθηκε πρωτοφανής ένταση μεταξύ του δήμαρχου και λιμενικών, αλλά ευτυχώς πολύ γρήγορα το κλίμα εκτονώθηκε και αποφασίστηκε (αφού ο Δήμαρχος μίλησε τηλεφωνικά μέχρι και με τον Υπουργό Δημόσιας Τάξης) να περιμένουν σχετικό έγγραφο από το Υπουργείο και το Αρχηγείο του Λιμενικού Σώματος, (ΚΕΝΤΡΟ ΕΠΙΧΕΙΡΗΣΕΩΝ) το οποίο θα έδινε το «πράσινο φως».
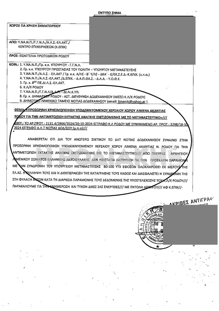
Το έγγραφο αυτό, έφθασε στα χέρια του δημάρχου Ρόδου, το βράδυ της Κυριακής. Όπως προκύπτει από το περιεχόμενό του, δίνεται σχετική έγκριση για την άμεση μεταφορά στον χώρο αυτό για 80 – 100 άτομα, αφού όμως προηγουμένως ταυτοποιηθούν.
Το σχέδιο του Δήμου της Ρόδου, προβλέπει στήσιμο 10 ή 15 μεγάλων σκηνών με τη συνδρομή του Ερυθρού Σταυρού, την τοποθέτηση 7 ή 8 χημικών τουαλετών, παροχή γευμάτων έως και 300 τουλάχιστον σε καθημερινή βάση, μέχρι οι άνθρωποι αυτοί να μπουν στο πλοίο της γραμμής κα να φύγουν από το νησί μας με προορισμό σε πρώτη φάση τις οργανωμένες δομές στην υπόλοιπη χώρα για τις οποίες το Ελληνικό Κράτος με τη συνδρομή της Ευρωπαϊκής Ένωσης έχει ξοδέψει εκατομμύρια ευρώ.
Η κατάσταση πάντως το τελευταίο διάστημα στο κέντρο της Ρόδου ήταν απογοητευτική: Σκηνές είχαν στηθεί από τους μετανάστες ακόμα και έξω από το Αστυνομικό Τμήμα της Ρόδου, στην πλατεία του Ταχυδρομείο και στο πάρκο του Θέρμαι. Από τα υπόστεγα πάντως της περιφέρειας, απομακρύνθηκαν από το μεσημέρι του Σαββάτου όλοι οι μετανάστες.
Τι αναφέρει το έγγραφο - έγκριση του Αρχηγείου του Λιμενικού Σώματος





Ακολουθήστε τη Ροδιακή στο Google News